
Projective Geometry and Transformations of 2D
Planar Geometry
The 2D Projective Plane
Points and Lines
Result 2.1: The point
Result 2.2: The intersection of two lines
Result 2.3: The line determined by two points is
Result 2.6: Duality principle. To any theorem of 2-dimensional projective geometry there corresponds a dual theorem, which may be derived by interchanging the roles of points and lines in the original theorem.
Equation of a conic:
Homogenizing this by replacement
And its matrix form:
where C is defined as follows,
Five points determines a conic,
And we have,
Result 2.7: The line l is tangent to C at a point x on C is given by l = Cx.
Projective Transformations
transformation of conics
Result 2.13. Under a point transformation
proof:
Dual conic shares the same conclusion.
A Hierarchy of Transformation
Decomposition of Projective Transformation
A projective transformation can be decomposed to a series of transformations, where each transformation offers one unique transform different to the former one.


The projective geometry of 1D
Cross Ratio

Recovery of affine and metric properties from images
The Line at Infinity
Result 2.17. The line at infinity,
Recovery of affine properties from images
Once
Affine properties of the first plane can be measured from the third, i.e. the third plane is within an affinity of the first.
The circular points and their dual
Initially, if the conic is a circle, we have
The conic intersects
And we have Algebraically, the circular points are the orthogonal directions of Euclidean geometry,
eg.
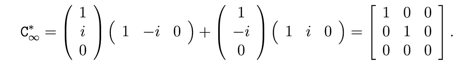
The conic dual to the circular points is
and we have
Result 2.22. The dual conic
Angles on the projective plane


Result 2.23. Once the conic
Proof.
Result 2.24. Lines
Recovery of metric properties from images
According to Result 2.24, we have
which means that the projective (v) and affine (K) components are determined directly from the image of $C_{\infty}^{}
As a matter of fact, by using SVD, we have
then by inspection from (2.23) the rectifying projectivity is H = U up to a similarity.
Metric rectification I
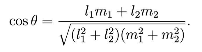
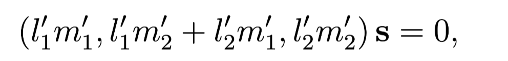
Suppose the lines
Here,
And we can get
More properties of conics

A conic is an (a) ellipse, (b) parabola, or (c) hyperbola; according to whether it (a) has no real intersection, (b) is tangent to (2-point contact), or (c) has 2 real intersections with
Thus this classification is unaltered by an affinity.
Conclusions
1.use the vanishing line to recover affine properties from images
2.use metric information on the plane, such as right angles, to recover the metric geometry.
- Title: Projective Geometry and Transformations of 2D
- Author: Gavin0576
- Created at : 2024-07-14 10:17:55
- Updated at : 2024-07-14 15:22:56
- Link: https://jiangpf2022.github.io/2024/07/14/Projective-Geometry-and-Transformations-of-2D/
- License: This work is licensed under CC BY-NC-SA 4.0.